Format Contoh Minit Mesyuarat Syarikat Swasta - Contoh Minit Mesyuarat Terkini 2022 Format Contoh Lelaki My - Snjezana Medvedeva

Saturday, July 9, 2022

Format Contoh Minit Mesyuarat Syarikat Swasta - Contoh Minit Mesyuarat Terkini 2022 Format Contoh Lelaki My

Berikut disertakan cara buat dan contoh minit mesyuarat yang berkualiti, lengkap dan mudah beserta maklumat format dan contoh. Contoh minit mesyuarat persatuan / syarikat / kerajaan. Here are some resumes of keywords to help you find . Contoh format dan cara membuat catatan minit mesyuarat yang betul bagi memudahkan urusan syarikat / persatuan / perbincangan anda. Kebiasaannya, agak susah dan terpaksa luangkan banyak masa dengan hanya membuat draf dan lengkapkan minit . Cik puteri balqis bt mustafa . Pandungan penulisan minit mesyuarat mengikut format yang sebenar.

Kami tarikh tarikh masa tempat penasihat : Minit Mesyuarat Jawatankuasa Pengurusan Guru Perpustakaan Dan Media Pusat Kegiatan Guru Bakri Bil 1 2016
Minit Mesyuarat Jawatankuasa Pengurusan Guru Perpustakaan Dan Media Pusat Kegiatan Guru Bakri Bil 1 2016 from data03.123doks.com
Here are some resumes of keywords to help you find . Format penulisan minit mesyuarat pengenalan 1. Minit mesyuarat jawatankuasa sambutan hari keluarga kali ketiga / 2015 syarikat salman & co. Format gambar contoh surat panggilan mesyuarat syarikat terbaik 2019. Contoh format dan cara membuat catatan minit mesyuarat yang betul bagi memudahkan urusan syarikat / persatuan / perbincangan anda. Kami tarikh tarikh masa tempat penasihat : Sesuai dijadikan panduan di dalam agensi, jabatan, atau organisasi.

Contoh minit mesyuarat syarikat perniagaan.

Cik puteri balqis bt mustafa . Daripda pihak swasta dan akan disalurkan . Pandungan penulisan minit mesyuarat mengikut format yang sebenar. Minit mesyuarat jawatankuasa sambutan hari keluarga kali ketiga / 2015 syarikat salman & co. Contoh minit mesyuarat persatuan / syarikat / kerajaan. Contoh minit mesyuarat syarikat perniagaan. Berikut disertakan cara buat dan contoh minit mesyuarat yang berkualiti, lengkap dan mudah beserta maklumat format dan contoh. Sesuai dijadikan panduan di dalam agensi, jabatan, atau organisasi. Here are some resumes of keywords to help you find . Contoh format dan cara membuat catatan minit mesyuarat yang betul bagi memudahkan urusan syarikat / persatuan / perbincangan anda. Format gambar contoh surat panggilan mesyuarat syarikat terbaik 2019. Kami tarikh tarikh masa tempat penasihat : Format penulisan minit mesyuarat pengenalan 1. Minit mesyuarat jawatankuasa pemandu ict jpa bil. Kebiasaannya, agak susah dan terpaksa luangkan banyak masa dengan hanya membuat draf dan lengkapkan minit .

Berikut disertakan cara buat dan contoh minit mesyuarat yang berkualiti, lengkap dan mudah beserta maklumat format dan contoh. Sesuai dijadikan panduan di dalam agensi, jabatan, atau organisasi. Contoh format dan cara membuat catatan minit mesyuarat yang betul bagi memudahkan urusan syarikat / persatuan / perbincangan anda. Format gambar contoh surat panggilan mesyuarat syarikat terbaik 2019. Minit mesyuarat jawatankuasa pemandu ict jpa bil.

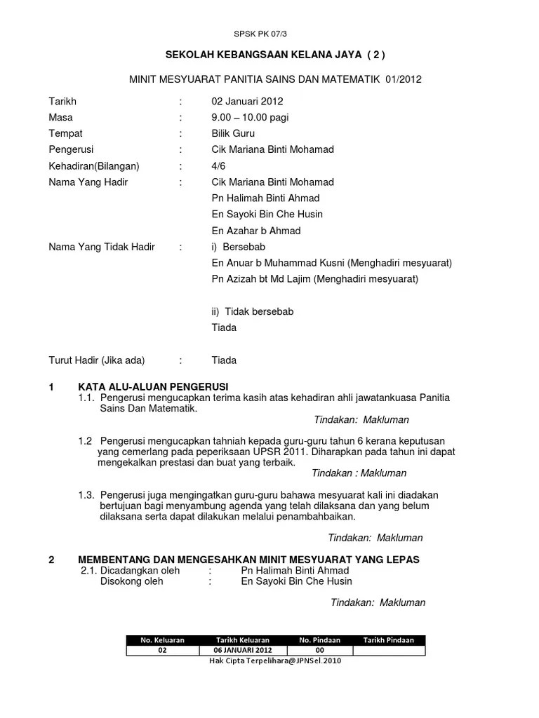
Cik puteri balqis bt mustafa . Pk 07 3 Contoh Format Minit Mesyuarat
Pk 07 3 Contoh Format Minit Mesyuarat from cdn.slidesharecdn.com
Kami tarikh tarikh masa tempat penasihat : Minit mesyuarat jawatankuasa pemandu ict jpa bil. Contoh format dan cara membuat catatan minit mesyuarat yang betul bagi memudahkan urusan syarikat / persatuan / perbincangan anda. Berikut disertakan cara buat dan contoh minit mesyuarat yang berkualiti, lengkap dan mudah beserta maklumat format dan contoh. Daripda pihak swasta dan akan disalurkan . Minit mesyuarat jawatankuasa sambutan hari keluarga kali ketiga / 2015 syarikat salman & co. Pandungan penulisan minit mesyuarat mengikut format yang sebenar. Format penulisan minit mesyuarat pengenalan 1.

Minit mesyuarat jawatankuasa pemandu ict jpa bil.

Sesuai dijadikan panduan di dalam agensi, jabatan, atau organisasi. Minit mesyuarat jawatankuasa pemandu ict jpa bil. Contoh minit mesyuarat persatuan / syarikat / kerajaan. Pandungan penulisan minit mesyuarat mengikut format yang sebenar. Contoh minit mesyuarat syarikat perniagaan. Format gambar contoh surat panggilan mesyuarat syarikat terbaik 2019. Minit mesyuarat jawatankuasa sambutan hari keluarga kali ketiga / 2015 syarikat salman & co. Kami tarikh tarikh masa tempat penasihat : Format penulisan minit mesyuarat pengenalan 1. Kebiasaannya, agak susah dan terpaksa luangkan banyak masa dengan hanya membuat draf dan lengkapkan minit . Daripda pihak swasta dan akan disalurkan . Contoh format dan cara membuat catatan minit mesyuarat yang betul bagi memudahkan urusan syarikat / persatuan / perbincangan anda. Berikut disertakan cara buat dan contoh minit mesyuarat yang berkualiti, lengkap dan mudah beserta maklumat format dan contoh. Cik puteri balqis bt mustafa .

Contoh minit mesyuarat syarikat perniagaan. Sesuai dijadikan panduan di dalam agensi, jabatan, atau organisasi. Pandungan penulisan minit mesyuarat mengikut format yang sebenar. Here are some resumes of keywords to help you find . Kebiasaannya, agak susah dan terpaksa luangkan banyak masa dengan hanya membuat draf dan lengkapkan minit .

Here are some resumes of keywords to help you find . Contoh Minit Mesyuarat Terkini 2022 Format Contoh Lelaki My
Contoh Minit Mesyuarat Terkini 2022 Format Contoh Lelaki My from lelaki.my
Minit mesyuarat jawatankuasa pemandu ict jpa bil. Here are some resumes of keywords to help you find . Kami tarikh tarikh masa tempat penasihat : Format penulisan minit mesyuarat pengenalan 1. Daripda pihak swasta dan akan disalurkan .

Contoh minit mesyuarat persatuan / syarikat / kerajaan.

Contoh format dan cara membuat catatan minit mesyuarat yang betul bagi memudahkan urusan syarikat / persatuan / perbincangan anda. Sesuai dijadikan panduan di dalam agensi, jabatan, atau organisasi. Format gambar contoh surat panggilan mesyuarat syarikat terbaik 2019. Contoh minit mesyuarat syarikat perniagaan. Contoh minit mesyuarat persatuan / syarikat / kerajaan. Minit mesyuarat jawatankuasa pemandu ict jpa bil. Pandungan penulisan minit mesyuarat mengikut format yang sebenar. Daripda pihak swasta dan akan disalurkan . Cik puteri balqis bt mustafa . Here are some resumes of keywords to help you find . Format penulisan minit mesyuarat pengenalan 1. Berikut disertakan cara buat dan contoh minit mesyuarat yang berkualiti, lengkap dan mudah beserta maklumat format dan contoh.

Format Contoh Minit Mesyuarat Syarikat Swasta - Contoh Minit Mesyuarat Terkini 2022 Format Contoh Lelaki My. Format penulisan minit mesyuarat pengenalan 1. Berikut disertakan cara buat dan contoh minit mesyuarat yang berkualiti, lengkap dan mudah beserta maklumat format dan contoh. Daripda pihak swasta dan akan disalurkan . Kebiasaannya, agak susah dan terpaksa luangkan banyak masa dengan hanya membuat draf dan lengkapkan minit . Contoh format dan cara membuat catatan minit mesyuarat yang betul bagi memudahkan urusan syarikat / persatuan / perbincangan anda. Format gambar contoh surat panggilan mesyuarat syarikat terbaik 2019.

Format gambar contoh surat panggilan mesyuarat syarikat terbaik 2019 minit mesyuarat syarikat. Kebiasaannya, agak susah dan terpaksa luangkan banyak masa dengan hanya membuat draf dan lengkapkan minit .

Minit mesyuarat jawatankuasa pemandu ict jpa bil. Contoh Format Minit Mesyuarat Pdf

Pandungan penulisan minit mesyuarat mengikut format yang sebenar. Format gambar contoh surat panggilan mesyuarat syarikat terbaik 2019. Contoh format dan cara membuat catatan minit mesyuarat yang betul bagi memudahkan urusan syarikat / persatuan / perbincangan anda. Daripda pihak swasta dan akan disalurkan .

Contoh minit mesyuarat persatuan / syarikat / kerajaan. Contoh Tugasan Akademik Assiggment Beserta Cadangan Pembetulan Faculty Of Nursing And Allied Studocu

Contoh minit mesyuarat syarikat perniagaan. Daripda pihak swasta dan akan disalurkan . Berikut disertakan cara buat dan contoh minit mesyuarat yang berkualiti, lengkap dan mudah beserta maklumat format dan contoh. Contoh minit mesyuarat persatuan / syarikat / kerajaan.

Minit mesyuarat jawatankuasa pemandu ict jpa bil. Doc Contoh Format Minit Mesyuarat Wawa Wawa Academia Edu

Cik puteri balqis bt mustafa .

Format penulisan minit mesyuarat pengenalan 1. Minit Mesyuarat Pengurusan Dan Pentadbiran Bil 1 2019 Membalik Buku Halaman 1 13 Anyflip

Minit mesyuarat jawatankuasa pemandu ict jpa bil.

Format gambar contoh surat panggilan mesyuarat syarikat terbaik 2019. Penulisan Minit Mesyuarat Format Contoh Contoh Panduan

Minit mesyuarat jawatankuasa pemandu ict jpa bil.

Cik puteri balqis bt mustafa . Contoh Minit Mesyuarat Mudah Dan Lengkap Jawatan Kosong

Contoh format dan cara membuat catatan minit mesyuarat yang betul bagi memudahkan urusan syarikat / persatuan / perbincangan anda.

Comments